JEDAi Success Stories: Tire Manufacturers

Successes

Strategic technical vision for market growth
- Audit about existing process & organisation
- Roadmap for virtual capabilities to support market ambitions

Teams Expertise building
- Objective measurements procedures & data management
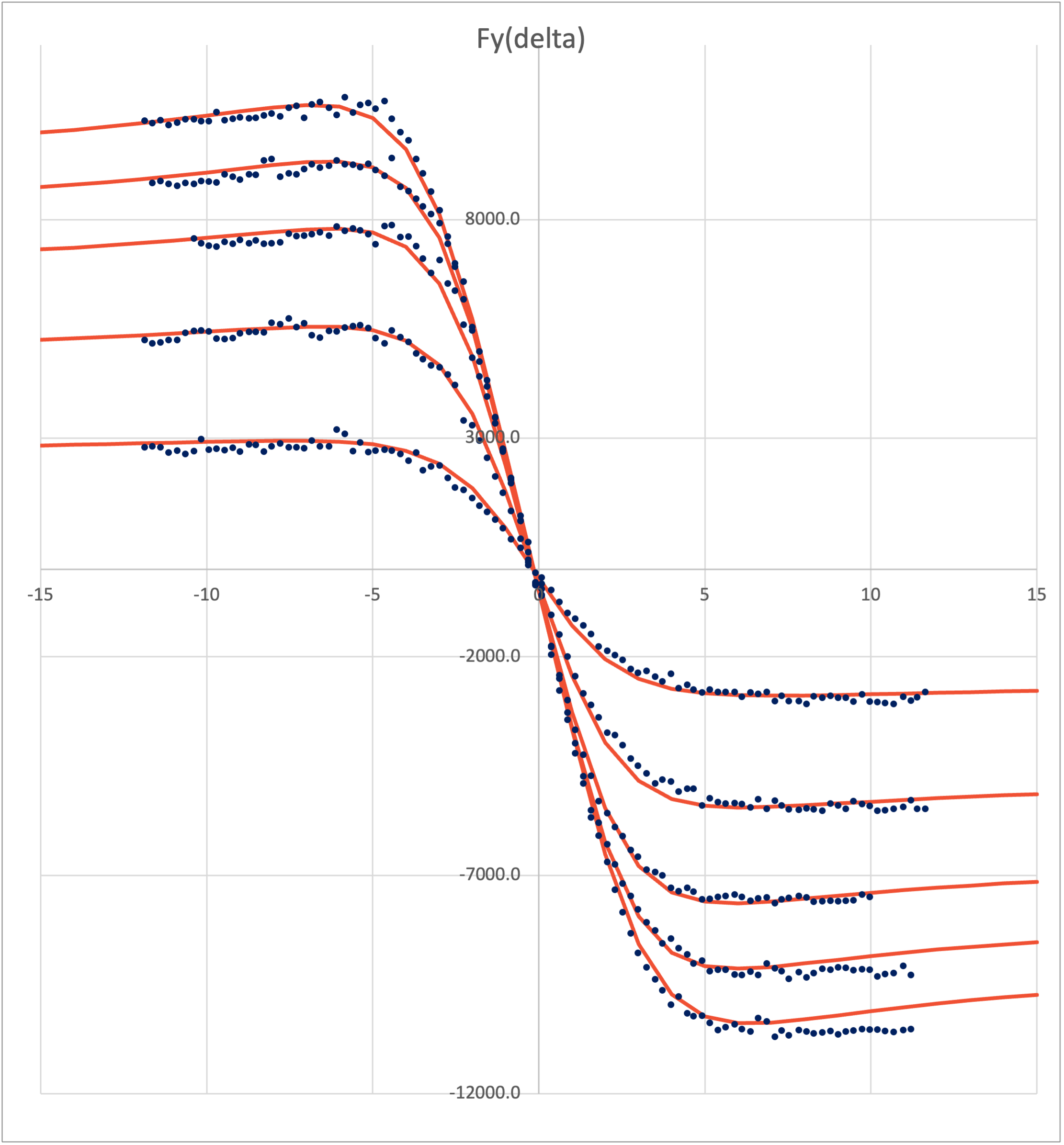
- Tire / Vehicle measurement & modeling workflows
- Subjective / Objective KPIs
- Trainings Knowledge transfer

Driving simulator choice & usage
- Driving simulator market insights and leading to a purchase
- Driving simulator place & usage for virtual developments
- Tire modeling specifics for simulator applications
- OEM virtual submissions collaborations
%20(1).png)

.png)